普通悬挑架计算书
工程名称:^_^商住楼;结构类型:框剪;建筑高度:60.00m;标准层层高:3.00m ;总建筑面积:20349.00m2;总工期:569天;施工单位:^_^$_$#_#&_&%_%^_^有限公司。
钢管脚手架的计算参照《建筑施工扣件式钢管脚手架安全技术规范》(JGJ130-2001)、《建筑结构荷载规范》(GB 50009-2001)、《钢结构设计规范》(GB 50017-2003)等规范。
一、参数信息:
1.脚手架参数
搭设尺寸为:立杆的纵距为1.20米,立杆的横距为1.00米,立杆的步距为1.00 米;
计算的脚手架为双排脚手架搭设高度为60.0 米,立杆采用单立管;
内排架距离墙长度为0.30米;
小横杆在上,搭接在大横杆上的小横杆根数为2;
采用的钢管类型为Φ48×3.5;
横杆与立杆连接方式为单扣件;扣件抗滑承载力系数为0.80;
连墙件采用两步三跨,竖向间距2.00 米,水平间距3.60 米,采用扣件连接;
连墙件连接方式为双扣件。
2.活荷载参数
施工荷载均布参数(kN/m2):2.500;脚手架用途:结构脚手架;同时施工层数:2。
3.风荷载参数
广西省南宁市地区,基本风压为0.350,风荷载高度变化系数μz为1.770,风荷载体型系数μs为1.200;考虑风荷载。
4.静荷载参数
每米立杆数承受的结构自重标准(kN/m2):0.1489;
脚手板自重标准值(kN/m2):0.300;栏杆挡脚板自重标准值(kN/m2):0.150;
安全设施与安全网(kN/m2):0.005;脚手板铺设层数:4;
脚手板类别:竹笆片脚手板;栏杆挡板类别:栏杆竹笆片。
5.水平悬挑支撑梁
悬挑水平钢梁采用[18号槽钢] ,其中建筑物外悬挑段长度2.00米,建筑物内锚固段长度 1.50 米。与楼板连接的螺栓直径(mm):50.00;楼板混凝土标号:C25。
6.拉绳与支杆参数
支撑数量为:1;支杆与墙距离为(m):1.500;最里面支点距离建筑物 1.20 m,支杆采用 14a号槽钢。

二、小横杆的计算:
小横杆按照简支梁进行强度和挠度计算,小横杆在大横杆的上面。按照小横杆上面的脚手板和活荷载作为均布荷载计算小横杆的最大弯矩和变形。
1.均布荷载值计算
小横杆的自重标准值: P1= 0.038 kN/m ;
脚手板的荷载标准值: P2= 0.300×1.200/3= 0.120 kN/m ;
活荷载标准值: Q=2.500×1.200/3= 1.000 kN/m;
荷载的计算值: q=1.2×0.038+1.2×0.120+1.4×1.000 = 1.590 kN/m;

小横杆计算简图
2.强度计算
最大弯矩考虑为简支梁均布荷载作用下的弯矩,计算公式如下:
![]()
最大弯矩 Mqmax =1.590×1.0002/8 = 0.199 kN.m;
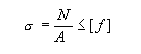
σ = Mqmax/W = 39.126 N/mm2;
小横杆的计算强度小于 205.0 N/mm2,满足要求!
3.挠度计算:
最大挠度考虑为简支梁均布荷载作用下的挠度荷载标准值q=0.038+0.120+1.000 = 1.158 kN/m;
![]()
最大挠度 V = 5.0×1.158×1000.04/(384×2.060×105×121900.0)=0.601 mm;
小横杆的最大挠度小于 1000.0 / 150=6.667 与10 mm,满足要求!
三、大横杆的计算:
大横杆按照三跨连续梁进行强度和挠度计算,小横杆在大横杆的上面。
1.荷载值计算
小横杆的自重标准值: P1= 0.038×1.000= 0.038 kN;
脚手板的荷载标准值: P2= 0.300×1.000×1.200/3= 0.120 kN;
活荷载标准值: Q= 2.500×1.000×1.200/3= 1.000 kN;
荷载的计算值: P=(1.2×0.038+1.2×0.120+1.4×1.000)/2=0.795 kN;
大横杆计算简图
2.强度计算
最大弯矩考虑为大横杆自重均布荷载与荷载的计算值最不利分配的弯矩和。
![]()
均布荷载最大弯矩计算:M1max=0.08×0.038×1.200×1.2002= 0.005 kN.m;
集中荷载最大弯矩计算公式如下:
![]()
集中荷载最大弯矩计算:M2max=0.267×0.795×1.200= 0.255 kN.m;
M = M1max + M2max = 0.005+0.255= 0.260 kN.m
抗弯强度:σ= 0.260×106/5080.0= 51.189 N/mm2;
大横杆的抗弯强度σ= 51.189 小于[f]=205.0N/mm2;
3.挠度计算
最大挠度考虑为大横杆自重均布荷载与荷载的计算值最不利分配的挠度和,单位:mm。
均布荷载最大挠度计算公式如下:
![]()
大横杆自重均布荷载引起的最大挠度:
Vmax= 0.677×0.038×1200.04 /(100×2.060×105×121900.0) = 0.021 mm;
集中荷载最大挠度计算公式如下:
![]()
集中荷载标准值最不利分配引起的最大挠度:
P=(0.038+0.120+1.000)/2= 0.579kN
V= 1.883×0.579×1200.03/ ( 100 ×2.060×105×121900.0) = 0.751 mm;
最大挠度和:V= Vmax + Vpmax = 0.021+0.751= 0.772 mm;
大横杆的最大挠度小于 1200.0 / 150=8.0 或者 10 mm,满足要求!
四、扣件抗滑力的计算:
按规范表5.1.7,直角、旋转单扣件承载力取值为8.00kN,按照扣件抗滑承载力系数0.80,该工程实际的旋转单扣件承载力取值为6.40kN。
纵向或横向水平杆与立杆连接时,扣件的抗滑承载力按照下式计算(规范5.2.5):
R ≤ Rc
其中 Rc -- 扣件抗滑承载力设计值,取6.40 kN;
R -- 纵向或横向水平杆传给立杆的竖向作用力设计值;
横杆的自重标准值: P1 = 0.038×1.200 = 0.046 kN;
脚手板的荷载标准值: P2 = 0.300×1.000×1.200/2 = 0.180 kN;
活荷载标准值: Q = 2.500×1.000×1.200 /2 = 1.500 kN;
荷载的计算值: R = 1.2×(0.046+0.180)+1.4×1.500 = 2.371 kN;
R < 6.40 kN , 单扣件抗滑承载力的设计计算满足要求!
五、脚手架荷载标准值:
作用于脚手架的荷载包括静荷载、活荷载和风荷载。静荷载标准值包括以下内容:
(1)每米立杆承受的结构自重标准值(kN/m);本例为0.1489
NG1 = 0.149×60.000 = 8.934 kN;
(2)脚手板的自重标准值(kN/m2);本例采用竹笆片脚手板,标准值为0.30
NG2= 0.300×4×1.200×(1.000+0.3)/2 = 0.936 kN;
(3)栏杆与挡脚手板自重标准值(kN/m);本例采用栏杆竹笆片,标准值为0.11
NG3 = 0.150×4×1.200/2 = 0.360 kN;
(4)吊挂的安全设施荷载,包括安全网(kN/m2);0.005
NG4 = 0.005×1.200×60.000 = 0.360 kN;
经计算得到,静荷载标准值
NG =NG1+NG2+NG3+NG4 = 10.590 kN;
活荷载为施工荷载标准值产生的轴向力总和,内、外立杆按一纵距内施工荷载总和的1/2取值。经计算得到,活荷载标准值
NQ= 2.500×1.000×1.200×2/2 = 3.000 kN;
风荷载标准值应按照以下公式计算
![]()
其中 Wo -- 基本风压(kN/m2),按照《建筑结构荷载规范》(GB50009-2001)的规定采用:
Wo = 0.350 kN/m2;
Uz -- 风荷载高度变化系数,按照《建筑结构荷载规范》(GB50009-2001)的规定采用:
Uz = 1.770 ;
Us -- 风荷载体型系数:Us = 1.200 ;
经计算得到,风荷载标准值
Wk = 0.7 ×0.350×1.770×1.200 = 0.520 kN/m2;
不考虑风荷载时,立杆的轴向压力设计值计算公式
N = 1.2NG+1.4NQ= 1.2×10.590+ 1.4×3.000 = 16.908 kN;
考虑风荷载时,立杆的轴向压力设计值计算公式
N = 1.2 NG+0.85×1.4NQ = 1.2×10.590+ 0.85×1.4×3.000 = 16.278 kN;
风荷载设计值产生的立杆段弯矩 MW计算公式
Mw = 0.85 ×1.4WkLah2/10 =0.850 ×1.4×0.520×1.200×1.0002/10 = 0.074 kN.m;
六、立杆的稳定性计算:
不组合风荷载时,立杆的稳定性计算公式为:
![]()
立杆的轴心压力设计值 :N = 16.908 kN;
计算立杆的截面回转半径 :i = 1.58 cm;
计算长度附加系数 :K = 1.155 ;
计算长度系数参照《扣件式规范》表5.3.3得 :U = 1.500
计算长度 ,由公式 lo = kuh 确定 :lo = 1.733 m;
Lo/i = 110.000 ;
轴心受压立杆的稳定系数φ,由长细比 lo/i 的结果查表得到 :φ= 0.516 ;
立杆净截面面积 : A = 4.89 cm2;
立杆净截面模量(抵抗矩) :W = 5.08 cm3;
钢管立杆抗压强度设计值 :[f] = 205.000 N/mm2;
σ = 16908.000/(0.516×489.000)= 67.009 N/mm2;
立杆稳定性计算 σ = 67.009 小于 [f] = 205.000 N/mm2 满足要求!
考虑风荷载时,立杆的稳定性计算公式
![]()
立杆的轴心压力设计值 :N = 16.278 kN;
计算立杆的截面回转半径 :i = 1.58 cm;
计算长度附加系数 : K = 1.155 ;
计算长度系数参照《扣件式规范》表5.3.3得 :U = 1.500
计算长度 ,由公式 lo = kuh 确定:lo = 1.733 m;
Lo/i = 110.000 ;
轴心受压立杆的稳定系数φ,由长细比 lo/i 的结果查表得到 :φ= 0.516
立杆净截面面积 : A = 4.89 cm2;
立杆净截面模量(抵抗矩) :W = 5.08 cm3;
钢管立杆抗压强度设计值 :[f] = 205.000 N/mm2;
σ = 16278.000/(0.516×489.000)+74310.264/5080.000 = 79.140 N/mm2;
立杆稳定性计算 σ = 79.140 小于 [f] = 205.000 N/mm2 满足要求!
七、连墙件的计算:
连墙件的轴向力计算值应按照下式计算:
Nl = Nlw + No
风荷载基本风压值 Wk = 0.520 kN/m2;
每个连墙件的覆盖面积内脚手架外侧的迎风面积 Aw = 7.200 m2;
连墙件约束脚手架平面外变形所产生的轴向力(kN), No= 5.000 kN;
风荷载产生的连墙件轴向力设计值(kN),应按照下式计算:
NLw = 1.4×Wk×Aw = 5.245 kN;
连墙件的轴向力计算值 NL= NLw + No= 10.245 kN;
其中 φ -- 轴心受压立杆的稳定系数,l为内排架距离墙的长度,
由长细比 l/i=300.000/15.800的结果查表得到0.949;
A = 4.89 cm2;[f]= 205.00 N/mm2;
连墙件轴向力设计值 Nf=φ×A×[f] = 0.949×4.890×10-4×205.000×103 = 95.133 kN;
Nl=10.245<Nf=95.133,连墙件的设计计算满足要求!
连墙件采用双扣件与墙体连接。
经过计算得到 Nl=10.245小于双扣件的抗滑力 16.0 kN,满足要求!

连墙件扣件连接示意图
八、悬挑梁的受力计算:
悬挑脚手架的水平钢梁按照带悬臂的连续梁计算。悬臂部分脚手架荷载N的作用,里端B为与楼板的锚固点,A为墙支点。
本工程中,脚手架排距为1000mm,内侧脚手架距离墙体300mm,支拉斜杆的支点距离墙体为 1200mm,水平支撑梁的截面惯性矩I = 1369.90 cm4,截面抵抗矩W = 152.20 cm3,截面积A = 29.29 cm2。
受脚手架集中荷载 N=1.2×10.590 +1.4×3.000 = 16.908 kN;
水平钢梁自重荷载 q=1.2×29.290×0.0001×78.500 = 0.276 kN/m;

悬挑脚手架示意图
悬挑脚手架计算简图
经过连续梁的计算得到

悬挑脚手架支撑梁剪力图(kN)
悬挑脚手架支撑梁变形图(kN)

悬挑脚手架支撑梁弯矩图(kN.m)
经过连续梁的计算得到
各支座对支撑梁的支撑反力由左至右分别为
R[1] = 22.046 kN;
R[2] = 13.295 kN;
R[3] = -0.559 kN。
最大弯矩 Mmax= 2.535 kN.m;
截面应力 σ =M/1.05W+N/A= 2.535×106 /( 1.05 ×152200.0 )+ 0.000×103 / 2929.0 = 15.861 N/mm2;
水平支撑梁的计算强度 σ =15.861 小于 215.000 N/mm2,满足要求!
九、悬挑梁的整体稳定性计算:
水平钢梁采用[18号槽钢,计算公式如下

其中φb -- 均匀弯曲的受弯构件整体稳定系数,按照下式计算:

经过计算得到强度 φb = 570×10.5×70.0×235 /(1200.0×180.0×235.0) = 1.94。由于φb大于0.6,查《钢结构设计规范》(GB50017-2003)附表B,得到 φb值为0.925。
经过计算得到强度 σ = 2.535×106 /(0.925×152200.00) = 18.012 N/mm2;
水平钢梁的稳定性计算 σ = 18.012 小于 [f] = 215.000 N/mm2 ,满足要求!
十、支杆的受力计算:
水平钢梁的轴力RAH和支杆的轴力RDi按照下面计算

其中RDicosαi为支杆的顶力对水平杆产生的轴拉力。
各支点的支撑力 RCi = RDisinαi
按照以上公式计算得到由左至右各支杆力分别为:RD1= 28.233 kN。
十一、支杆的强度计算:
钢丝拉绳(支杆)的内力计算:
斜压支杆的轴力RD我们均取最大值进行计算,为RD = 28.233kN。下面压杆以14a号槽钢计算,斜压杆的容许压力按照下式计算:

其中:N -- 受压斜杆的轴心压力设计值,N = 28.233kN;
Φ -- 轴心受压斜杆的稳定系数,由长细比l/i查表得到 φ = 0.906;
i -- 计算受压斜杆的截面回转半径,i = 5.520cm;
l -- 受最大压力斜杆计算长度,l = 1.921m;
A -- 受压斜杆净截面面积,A = 18.510cm2;
σ -- 受压斜杆受压强度计算值,经计算得到结果是16.835 N/mm2;
[f] -- 受压斜杆抗压强度设计值,f = 215N/mm2;
受压斜杆的稳定性计算σ< [f],满足要求!
斜撑支杆的焊缝计算:
斜撑支杆采用焊接方式与墙体预埋件连接,对接焊缝强度计算公式如下

其中:N为斜撑支杆的轴向力,N = 28.233kN;
lw为斜撑支杆件的周长,取500.000mm;
t为斜撑支杆的厚度,t = 6.000mm;
ft或fc为对接焊缝的抗拉或抗压强度,取185.000N/mm2;
经过计算得到焊缝抗拉强度= 28232.808/(500.000×6.000) = 9.411N/mm2。
对接焊缝的抗拉或抗压强度计算满足要求!
十二、锚固段与楼板连接的计算:
1.水平钢梁与楼板压点如果采用钢筋拉环,拉环强度计算如下:
水平钢梁与楼板压点的拉环受力R=13.295kN;
水平钢梁与楼板压点的拉环强度计算公式为:

其中 [f] 为拉环钢筋抗拉强度,按照《混凝土结构设计规范》10.9.8 [f] = 50N/mm2;
所需要的水平钢梁与楼板压点的拉环最小直径 D=[13294.825×4/(3.142×50×2)]1/2 =13.011mm
水平钢梁与楼板压点的拉环一定要压在楼板下层钢筋下面,并要保证两侧30cm以上搭接长度。
2.水平钢梁与楼板压点如果采用螺栓,螺栓粘结力锚固强度计算如下:
锚固深度计算公式:

其中 N -- 锚固力,即作用于楼板螺栓的轴向拉力,N = 13.295kN;
d -- 楼板螺栓的直径,d = 50.000mm
[fb] -- 楼板螺栓与混凝土的容许粘接强度,计算中取1.270N/mm2;
h -- 楼板螺栓在混凝土楼板内的锚固深度,经过计算得到 h 要大于13294.825/(3.142×50.000×1.270)=66.644mm。
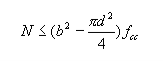
3.水平钢梁与楼板压点如果采用螺栓,混凝土局部承压计算如下:
混凝土局部承压的螺栓拉力要满足公式:

其中 N -- 锚固力,即作用于楼板螺栓的轴向拉力,N = 13.295kN;
d -- 楼板螺栓的直径,d = 50.000mm;
b -- 楼板内的螺栓锚板边长,b=5×d = 250.000mm;
fcc -- 混凝土的局部挤压强度设计值,计算中取0.950fc=11.900N/mm2;
经过计算得到公式右边等于720.38kN大于锚固力N=13.29 kN ,楼板混凝土局部承压计算满足要求!
说 明
星欣设计图库资料专卖店拥有最新最全的设计参考图库资料,内容涉及景观园林、建筑、规划、室内装修、建筑结构、暖通空调、给排水、电气设计、施工组织设计等各个领域的设计素材和设计图纸等参考学习资料。是为广大艺术设计工作者优质设计学习参考资料。本站所售的参考资料包括设计方案和施工图案例已达几十万套以上,总量在数千G以上。
联系QQ:447255935
电话:13111542600