卸料平台施工方案

1、编制依据

1.1施工图

****建筑、结构施工图

1.2主要规范、规程、手册

建筑施工高空作业安全技术规范(JGJ80-91)

建筑施工安全检查标准(JGJ59-99)

2、卸料平台施工做法

卸料平台采用悬挑钢平台。在建筑每单元每层各设一组,规格为2.7M×2.5M(长×宽),高度随楼层模板拆除情况,拆除一层卸料平台上升一层。平台上设置限定荷载标牌,本工程卸料平台限重为1.0T。平台周边栏杆高度1.5,挂双层安全网

3、操作平台安全要求:

(1)卸料平台的上部拉结点,必须设于建筑物上,不得设置在脚手架等施工设备上;

(2)卸料平台安装时,钢丝绳应采用专用的挂钩挂牢,建筑物锐角口围系钢丝绳处应加补软垫物,平台外口应略高于内口;

(3)卸料平台左右两侧必须装置固定的防护栏;

(4)卸料平台吊装,需要横梁支撑点电焊固定,接好钢丝绳,经过检验后才能松卸起重吊钩;

(5)卸料平台使用时,应有专人负责检查,发现钢丝绳有锈蚀损坏应及时调换,焊缝脱焊应及时修复;

(6)操作平台上应显著标明容许荷载,人员和物料总重量严禁超过设计容许荷载,配专人监督。

 

 

型钢悬挑卸料平台计算书

一、参数信息:

1.荷载参数

脚手板类别:木脚手板,脚手板自重(kN/m2):0.35;

栏杆、挡板类别:栏杆、竹串片脚手板挡板,栏杆、挡板脚手板自重(kN/m):0.14;

施工人员等活荷载(kN/m2):2.00,最大堆放材料荷载(kN):10.00。

2.悬挑参数

内侧钢绳与墙的距离(m):1.00,外侧钢绳与内侧钢绳之间的距离(m):1.50;

上部拉绳点与悬挑梁墙支点的距离(m):3.00;

钢丝绳安全系数K:6.00,悬挑梁与墙的接点按 铰支 计算;

预埋件的直径(mm):20.00。

只对外侧钢绳进行计算;内侧钢绳只是起到保险作用,不进行计算。

3.水平支撑梁

主梁材料类型及型号:18号槽钢槽口水平 ;

次梁材料类型及型号:10号槽钢槽口水平;

次梁水平间距ld(m):0.50,建筑物与次梁的最大允许距离le(m):0.20。

4.卸料平台参数

水平钢梁(主梁)的悬挑长度(m):2.70,水平钢梁(主梁)的锚固长度(m):3.30;

平台计算宽度(m):2.50。

二、次梁的验算:

次梁选择 10号槽钢槽口水平 ,间距0.5m,其截面特性为:

面积 A=12.74cm2

惯性距 Ix=198.3cm4

转动惯量 Wx=39.7cm3

回转半径 ix=3.95cm

截面尺寸:b=48mm,h=100mm,t=8.5mm

1.荷载计算

(1)脚手板的自重标准值:本例采用木脚手板,标准值为0.35kN/m2

    Q1  = 0.35× 0.50= 0.18kN/m;

(2)最大的材料器具堆放荷载为10.00kN,转化为线荷载:

    Q2 =  10.00/ 2.70/ 2.50× 0.50= 0.74kN/m;

(3)槽钢自重荷载 Q3= 0.10kN/m;

经计算得到 静荷载设计值 q = 1.2×(Q1+Q2+Q3) = 1.2×(0.18+0.74+0.10) =  1.22kN;

经计算得到 活荷载设计值 P = 1.4× 2.00× 0.50× 2.50= 3.50kN。

2.内力验算

内力按照集中荷载P与均布荷载q作用下的简支梁计算,计算简图如下:

               

最大弯矩M的计算公式为:

               

经计算得到,最大弯矩 M = 1.22×2.502/8+3.50×2.50/4=3.14kN.m。

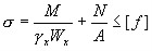
3.抗弯强度验算

次梁应力:

              

其中  γx -- 截面塑性发展系数,取1.05;

     [f] -- 钢材的抗压强度设计值,[f] = 205.00 N/mm2

次梁槽钢的最大应力计算值 σ =3.14×103/(1.05×39.70)=75.28 N/mm2

次梁槽钢的最大应力计算值 σ =75.276 N/mm2 小于 次梁槽钢的抗压强度设计值 [f]=205 N/mm2,满足要求!

4.整体稳定性验算

               

其中,φb -- 均匀弯曲的受弯构件整体稳定系数,按照下式计算:

               

经过计算得到  φb=570×8.50×48.00×235/(2.50×100.00×235.0)=0.93

由于 φb大于0.6,按照下面公式调整:

               

得到 φb=0.767

次梁槽钢的稳定性验算 σ =3.14×103/(0.767×39.700)=103.07 N/mm2

次梁槽钢的稳定性验算 σ =103.07 N/mm2 小于 次梁槽钢的抗压强度设计值 [f]=205 N/mm2,满足要求!

三、主梁的验算:

根据现场实际情况和一般做法,卸料平台的内钢绳作为安全储备不参与内力的计算。

主梁选择 18号槽钢槽口水平 ,其截面特性为:

面积 A=29.29cm2

惯性距 Ix=1369.9cm4

转动惯量 Wx=152.2cm3

回转半径 ix=6.84cm

截面尺寸,b=70mm,h=180mm,t=10.5mm

1.荷载验算

(1)栏杆与挡脚手板自重标准值:本例采用栏杆、竹串片脚手板挡板,标准值为0.14kN/m;

    Q1 = 0.14kN/m;

(2)槽钢自重荷载 Q2=0.23kN/m

静荷载设计值 q = 1.2×(Q1+Q2) = 1.2×(0.14+0.23) = 0.44kN/m;

次梁传递的集中荷载取次梁支座力 P = (1.22×2.50+3.50)/2=3.27kN;

2.内力验算

    

                    悬挑卸料平台示意图

    

                    悬挑卸料平台水平钢梁计算简图

 

    

                    悬挑水平钢梁支撑梁剪力图(kN)

    

                    悬挑水平钢梁支撑梁弯矩图(kN.m)

    

                    悬挑水平钢梁支撑梁变形图(mm)

卸料平台的主梁按照集中荷载P和均布荷载q作用下的连续梁计算,由矩阵位移法,得到:

    R[1] = 12.021 kN;

    R[2] = 12.057 kN;

最大支座反力为 Rmax=12.057 kN;

最大弯矩 Mmax=5.322 kN.m;

最大挠度 V=1.183 mm

3.抗弯强度验算

               

其中  γx -- 截面塑性发展系数,取1.05;

     [f] -- 钢材抗压强度设计值,[f] = 205.00 N/mm2

主梁槽钢的最大应力计算值  σ =5.32×106/1.05/152200.0+1.00×104/2929.000=36.733 N/mm2

主梁槽钢的最大应力计算值  36.733 N/mm2 小于 主梁槽钢的抗压强度设计值 [f]=205.00 N/mm2,满足要求!

4.整体稳定性验算

               

其中  φb -- 均匀弯曲的受弯构件整体稳定系数,按照下式计算:

               

  φb=570×10.5×70.0×235/(2700.0×180.0×235.0)=0.862

由于 φb大于0.6,应按照下面公式调整:

               

可得 φb=0.743

主梁槽钢的稳定性验算 σ = 5.32×106/(0.743×152200.00)=47.07 N/mm2

主梁槽钢的稳定性验算 σ = 47.07 N/mm2 小于  [f]=205.00,满足要求!

四、钢丝拉绳的内力验算:

水平钢梁的垂直支坐反力RCi和拉钢绳的轴力RUi按照下面计算,

              RCi = RUisinθi

其中 RCi -- 水平钢梁的垂直支坐反力(kN);

     RUi -- 拉钢绳的轴力(kN);

     θi -- 拉钢绳的轴力与水平钢梁的垂直支坐反力的夹角;

   sinθi = Sin (ArcTan (3/(1.5+1)) = 0.768

根据以上公式计算得到外钢绳的拉力为:RUi = RCi / sinθi

RU1 = 12.021 / 0.768 = 15.65 kN;

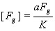
五、钢丝拉绳的强度验算:

钢丝拉绳(斜拉杆)的轴力RU取最大值进行验算,为15.65kN;

如果上面采用钢丝绳,钢丝绳的容许拉力计算公式:

               

其中[Fg]-- 钢丝绳的容许拉力(kN);

     Fg -- 钢丝绳的钢丝破断拉力总和(kN);

           计算中近似取Fg=0.5d2,d为钢丝绳直径(mm);

     α --     钢丝绳之间的荷载不均匀系数,对6×19、6×37、6×61钢丝绳分别取0.85、0.82和0.8;

     K  -- 钢丝绳使用安全系数。

计算中[Fg]取15.648kN,α=0.82,K=6,得到:d=15.1mmφ15.5-6×191钢丝绳。

六、钢丝拉绳拉环的强度验算:

取钢丝拉绳(斜拉杆)的轴力最大值RU进行计算作为拉环的拉力N为:

N=RU=15647.669N。

拉环强度计算公式为:

               

其中, [f]为拉环钢筋抗拉强度,按照《混凝土结构设计规范》10.9.8所述在物件的自重标准值作用下,每个拉环按2个截面计算的。拉环的应力不应大于50N/mm2,故拉环钢筋的抗拉强度设计值[f]=50.0N/mm2

所需要的拉环最小直径 D=[15647.7×4/(3.142×50.00×2)]1/2=20.0mm

附图1 卸料平台安装示意图

附图2 主梁固定用锚筋安装图